总揽
此商城实战项目主要包括了用户注册登录、商品的查询、添加购物车、下单支付等功能,主要技术栈是:SpringBoot2.X + Mybatis + RabbitMQ
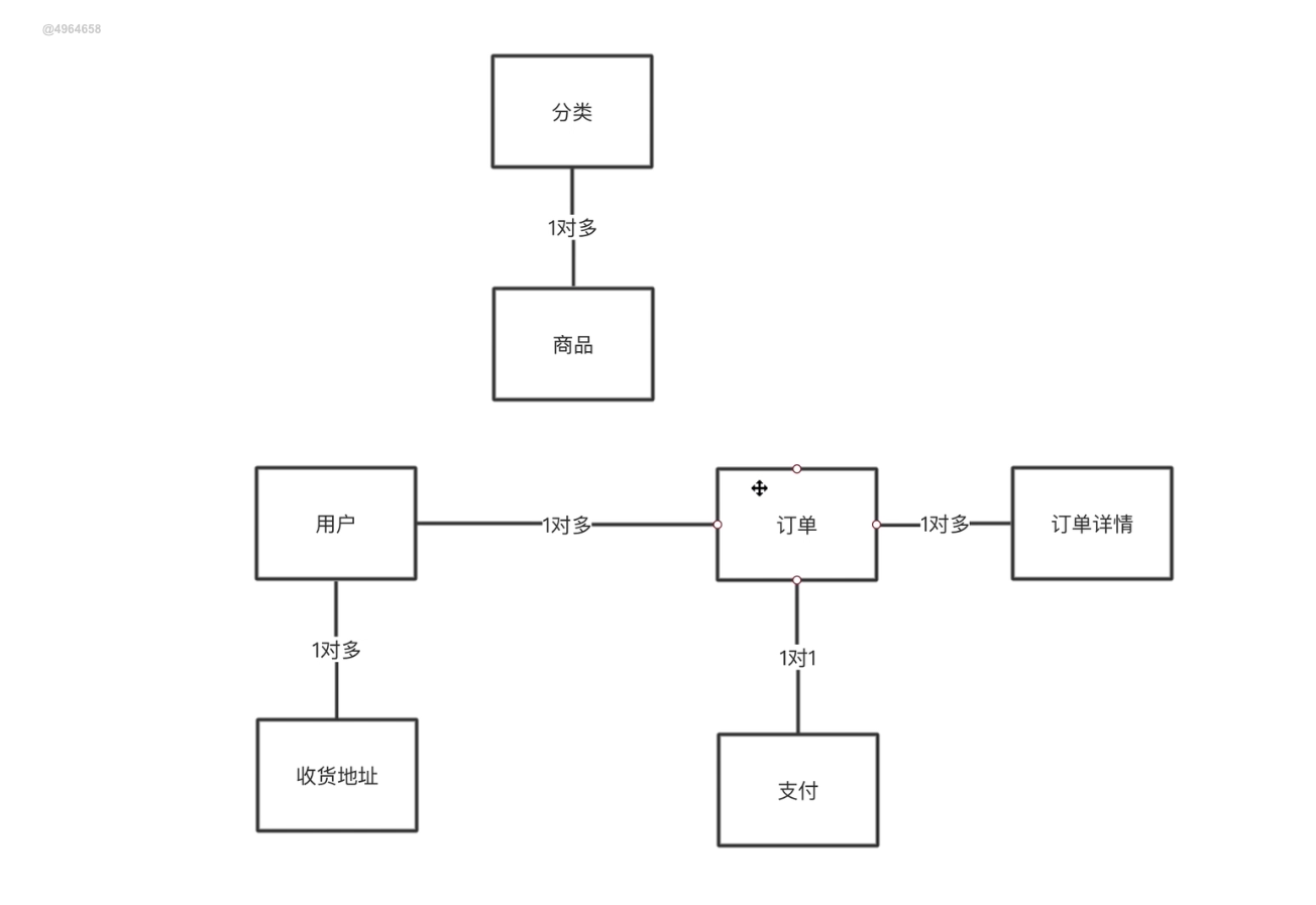
数据库设计
实体关系图
数据库表设计
mall_user: 用户表
mall_shipping: 收获地址表
mall_product: 商品表
mall_category: 商品分类表
mall_order: 订单表
mall_order_item: 订单中的商品表
mall_pay_info: 支付信息表(独立在支付系统中)
SpringBoot项目初始化
用idea的 Spring Initializr 初始化 SpringBoot 项目
添加 Spring Web Starter 依赖
在设置中调整 JDK 和 Maven 相关的配置
- JDK版本要对应
- Maven中配置默认JDK版本、阿里镜像源等
Mybatis三剑客
Mybatis-generator:根据提供的数据库连接信息和表名,自动生成pojo、dao、mapper层的模版文件
Mybatis-plugin:已收费,推荐安装 Free-Mybatis-plugin 插件
Mybatis-PageHelper: 查询分页的利器
基于Redis完成购物车模块
在Web应用发展的初期,那时关系型数据库受到了较为广泛的关注和应用,原因是因为那时候Web站点基本上访问和并发不高、交互也较少。而在后来,随着访问量的提升,使用关系型数据库的Web站点多多少少都开始在性能上出现了一些瓶颈,而瓶颈的源头一般是在磁盘的I/O上。而随着互联网技术的进一步发展,各种类型的应用层出不穷,这导致在当今云计算、大数据盛行的时代,对性能有了更多的需求,主要体现在以下四个方面:
- 低延迟的读写速度:应用快速地反应能极大地提升用户的满意度
- 支撑海量的数据和流量:对于搜索这样大型应用而言,需要利用PB级别的数据和能应对百万级的流量
- 大规模集群的管理:系统管理员希望分布式应用能更简单的部署和管理
- 庞大运营成本的考量:IT部门希望在硬件成本、软件成本和人力成本能够有大幅度地降低
为了克服这一问题,NoSQL应运而生,它同时具备了高性能、可扩展性强、高可用等优点,受到广泛开发人员和仓库管理人员的青睐。
Redis是现在最受欢迎的NoSQL数据库之一,Redis是一个使用ANSI C编写的开源、包含多种数据结构、支持网络、基于内存、可选持久性的键值对存储数据库,其具备如下特性:
- 基于内存运行,性能高效
- 支持分布式,理论上可以无限扩展
- key-value存储系统
- 开源的使用ANSI C语言编写、遵守BSD协议、支持网络、可基于内存亦可持久化的日志型、Key-Value数据库,并提供多种语言的API
购物车的频繁操作,需要利用Redis的高性能的优势
安装redis
创建 docker-compose.yml
yml1
2
3
4
5
6
7
8
9
10
11version: '3.1'
services:
redis:
image: daocloud.io/library/redis:5.0.7
restart: always
container_name: redis
environment:
- TZ=Asia/Shanghai
ports:
- 6379:6379
command: ["redis-server", "/usr/local/redis/redis.conf"]运行容器
bash1
docker-compose up -d
redis可视化工具
安装 Another Redis Desktop Manager 管理工具
基于RabbitMQ实现支付的异步通知
如果商品服务和订单服务是两个不同的微服务,在下单的过程中订单服务需要调用商品服务进行扣库存操作。按照传统的方式,下单过程要等到调用完毕之后才能返回下单成功,如果网络产生波动等原因使得商品服务扣库存延迟或者失败,会带来较差的用户体验,如果在高并发的场景下,这样的处理显然是不合适的,那怎么进行优化呢?这就需要消息队列登场了。
消息队列提供一个异步通信机制,消息的发送者不必一直等待到消息被成功处理才返回,而是立即返回。消息中间件负责处理网络通信,如果网络连接不可用,消息被暂存于队列当中,当网络畅通的时候在将消息转发给相应的应用程序或者服务,当然前提是这些服务订阅了该队列。如果在商品服务和订单服务之间使用消息中间件,既可以提高并发量,又降低服务之间的耦合度。
安装RabbitMQ
创建 docker-compose.yml
yml1
2
3
4
5
6
7
8
9version: '3.1'
services:
rabbitmq:
image: daocloud.io/library/rabbitmq:management
restart: always
container_name: rabbitmq
ports:
- 5672:5672
- 15672:15672运行容器
bash1
docker-compose up -d
RabbitMQ可视化工具
上一步运行的容器,暴露的 15672 端口就是web可视化工具的访问端口,访问 ip:15672 即可
项目部署
前端资源的部署
安装 nginx
下载前端代码(前端代码只提供了打包后的压缩包,没有源码)
bash1
2wget https://imcfile.oss-cn-beijing.aliyuncs.com/shizhan/file/392/dist.zip
unzip dist.zip项目的nginx配置文件
- /opt/application/mall 是放置 mall项目 前端资源的文件夹
- /api/ /pay/ 是后端接口代理
注意 http://127.0.0.1:8081/pay/ 和 http://127.0.0.1:8081/pay 的代理路径是有区别的
bash1
2
3
4
5
6
7
8
9
10
11
12
13
14
15
16
17
18
19
20
21
22
23
24
25
26
27server {
listen 80;
server_name mall.shengshunyan.xyz;
error_page 497 https://$host$uri?$args;
location / {
root /opt/application/mall;
index index.html index.htm;
}
location /api/ {
proxy_pass http://127.0.0.1:8080/;
}
location /pay/ {
proxy_pass http://127.0.0.1:8081/pay/;
}
# error_page 404 /404.html;
# location = /40x.html {
# }
# error_page 500 502 503 504 /50x.html;
# location = /50x.html {
# }
}
后端资源的部署
以 .service 结尾的单元(unit)配置文件,用于控制由 systemd 控制或监视的进程。简单说,用于后台以守护精灵(daemon)的形式运行程序。
这里的java后端服务就是按照这样的方式来部署启动
上传mall项目的jar包到 /root/mall_and_pay_project/mall 文件夹下
bash1
scp xxx xxx:/root/mall_and_pay_project/mall
新建 /etc/systemd/system/mall.service 文件
plaintext1
2
3
4
5
6
7
8
9
10[Unit]
Description=mall
After=syslog.target
[Service]
User=root
ExecStart=/usr/lib/jvm/java-1.8.0-openjdk-1.8.0.262.b10-0.el7_8.x86_64/jre/bin/java -jar -Dspring.profiles.active=prod -Dlogging.path=/root/mall_and_pay_project/mall/log/ /root/mall_and_pay_project/mall/mall.jar
[Install]
WantedBy=multi-user.target启动服务
bash1
systemctl start mall




